LIMIT

A. limit fungsi Al Jabar

Pada dasarnya, limit adalah suatu nilai yang menggunakan pendekatan fungsi ketika hendak mendekati nilai tertentu. Singkatnya, limit ini dianggap sebagai nilai yang menuju suatu batas. Disebut sebagai “batas” karena memang ‘dekat’ tetapi tidak bisa dicapai. Lalu, mengapa limit tersebut harus didekati? Karena suatu fungsi biasanya tidak terdefinisikan pada titik-titik tertentu. Meskipun suatu fungsi itu seringkali tidak terdefinisikan oleh titik-titik tertentu, tetapi masih dapat dicari tahu berapa nilai yang dapat didekati oleh fungsi tersebut, terlebih ketika titik tertentu semakin didekati oleh “limit

RUMUS:

Dalam ilmu matematika, konsep limit ini ditulis berupa:

Maksudnya, apabila x mendekati a tetapi x tidak sama dengan a, maka f(x) akan mendekati L. Pendekatan x ke a ini dapat dilihat dari dua sisi, yakni sisi kiri dan sisi kanan. Nah, dengan kata lain bahwa x juga dapat mendekati dari arah kiri dan arah kanan sehingga nantinya akan menghasilkan limit kiri dan limit kanan.

CONTOH SOAL:
DAFTAR PUSTAKA:
https://www.gramedia.com/literasi/limit-fungsi-aljabar/amp/

B.Teorima limit

Teorema Limit
Limit dalam bahasa umum bermakna batas. 
Definisi dari limit ini menyatakan bahwa suatu fungsi f(x) akan mendekati nilai tertentu jika x mendekati nilai tertentu. 
Pendekatan ini terbatas antara dua bilangan positif yang sangat kecil yang disebut sebagai epsilon dan delta. 
Hubungan ke-2 bilangan positif kecil ini terangkum dalam definisi limit.

CONTOH SOAL:
DAFTAR PUSTAKA:
https://gurubelajarku.com/limit-fungsi/amp/

C.limit tak tentu

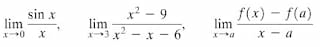
Perhatikanlah tiga masalah limit yang diberikan di bawah ini:
Kalian pasti tidak asing lagi dengan bentuk limit di atas. Ketiga bentuk limit tersebut memiliki penampilan yang sama yaitu terdapat hasil bagi dan memiliki pembilang dan penyebut berlimit nol. Khusus untuk limit yang ketiga sebenarnya merupakan definisi turunan 
Kalau kita menghitung limit itu dengan mensubstitusikan nilai x
 pada fungsi pembilang dan penyebut, kita akan memperoleh jawaban yang tak ada artinya, yaitu 0/0. Namun demikian, kita tidak mengatakan bahwa limit tersebut tidak ada, melainkan kita hanya mengatakan bahwa limit tersebut tidak dapat ditentukan dengan aturan hasil bagi limit.

Anda tentunya masih ingat bahwa dengan menggunakan geometri, kita dapat membuktikan bahwa
Di lain pihak, dengan menggunakan pemfaktoran dalam aljabar, kita peroleh
Kita telah berhasil menyelesaikan dua bentuk limit di atas dengan menggunakan geometri dan pemfaktoran aljabar, tetapi tentunya akan lebih baik bila ada aturan baku yang dapat dipakai untuk menghitung limit-limit demikian. Memang ada, yaitu suatu aturan yang lazim dinamakan Aturan I’Hopital (baca: loupital).
CONTOH SOAL
Jika kita mensubstitusikan nilai x pada fungsi pembilang dan penyebut, kita akan peroleh dua limit tersebut berbentuk 0/0. Oleh karena itu, kita dapat menggunakan aturan I’Hopital yaitu sebagai berikut.
Jadi, limit yang pertama adalah 1 dan limit yang kedua adalah bernilai 0.
DAFTAR PUSTAKA:

https://jagostat.com/kalkulus1/bentuk-nol-per-nol

Komentar

Postingan populer dari blog ini

BARISAN & DERET GEOMETRI

BARISAN & DERET ARITMATIKA

SOAL KONTEKSTUAL BERKAITAN PERBANDINGAN TRIGONOMETRI PADA SEGITIGA SIKU-SIKU, SUDUT ELEVASI DAN SUDUT DEPRESI